|
RTI Connext DDS Micro
Version 2.4.7
|
| Library | ELOC |
|---|---|
| rti_me | 27444 |
| discdpde | 3085 |
| discdpse | 1607 |
| rh_sm + wh_sm | 1632 |
| rti_me_cert | 30683 |
| Library name | Text (B) | Data (B) | BSS (B) |
|---|---|---|---|
| rti_me | 463039 | 604 | 6536 |
| rti_me_discdpde | 48850 | 4 | 1536 |
| rti_me_discdpse | 34463 | 4 | 1100 |
| rti_me_rhsm | 15329 | 4 | 512 |
| rti_me_whsm | 8493 | 4 | 496 |
| rti_me_cpp | 193068 | 32 | 5480 |
| Entity | Release Size (B) | Notes |
|---|---|---|
| DDS DomainParticipantFactory | 2104 | |
| DDS DomainParticipant | 13256 | This is the memory for an empty participant. The memory used by each entity must be added as described for each entity. |
| Type (registration) | 13 | function rti_me_heap.dds_c.type.size(type_name)
return (13) + string.len(type_name) + 1
end
|
| DDS Topic | 109 | function rti_me_heap.dds_c.topic.size(topic_name)
return (109) + string.len(topic_name) + 1
end
|
| DDS Publisher | 253 | |
| DDS Subscriber | 253 | |
| DDS DataReader | 3493 | function rti_me_heap.dds_c.datareader.size_w_rl(rl_ms,rl_mi,rl_mrw,rl_mrwi,rl_mrpw)
return (2351) + (rl_ms*152) + (rl_mi*255)
+ (rl_mrw*364) + (rl_mrpw * 83)
end
|
| DDS DataWriter | 3361 | function rti_me_heap.dds_c.datawriter.size_w_rl(rl_ms,rl_mi,wrl_mrr,wrl_mrpr)
return (2447) + (rl_ms*115) + (rl_mi*72) + (wrl_mrr * 372) + (wrl_mrpr * 83)
end
|
| RemoteParticipant | 598 | function rti_me_heap.dds_c.remote_participant.size(rl_max_locators)
return (501) + (rl_max_locators * 24)
end
|
| RemotePublication | 238 | function rti_me_heap.dds_c.remote_publication.size(topic_name,rl_max_locators)
return (141) + string.len(topic_name) + 1 + (rl_max_locators * 24)
end
|
| RemoteSubscription | 262 | function rti_me_heap.dds_c.remote_subscription.size(topic_name,rl_max_locators)
return (166) + strlen(topic_name) + 1 + (rl_max_locators * 24)
end
|
| Reader/Writer Pair (matching_reader_writer_pair_allocation) | 29 | |
| Destination Port (max_destination_ports) | 78 | |
| UDP Receive Port (max_receive_ports) | 346 |
| DPDE Plugin | Release Size(B) | Notes |
|---|---|---|
| DPDE Plugin | 64472 |
| DPSE Plugin | Release Size(B) | Notes |
|---|---|---|
| DPSE Plugin | 30780 |
| Size | Demand | Samples | Samples/sec | Mbit/sec | Samples lost | Samples Rejected | CPU | Memory |
|---|---|---|---|---|---|---|---|---|
| 16 | 10 | 26250 | 1312.123053 | 0.167952 | 0 | 0 | 34.04084 | 131.039062 |
| 16 | 110 | 68750 | 3434.014544 | 0.439554 | 0 | 0 | 83.916252 | 131.039062 |
| 16 | 210 | 74550 | 3725.600391 | 0.476877 | 0 | 0 | 90.655426 | 131.039062 |
| 16 | 310 | 76880 | 3840.275777 | 0.491555 | 0 | 0 | 93.361015 | 131.039062 |
| Size | Demand | Samples | Samples/sec | Mbit/sec | Samples lost | Samples Rejected | CPU | Memory |
|---|---|---|---|---|---|---|---|---|
| 32 | 10 | 26250 | 1312.292881 | 0.335947 | 0 | 0 | 33.995197 | 131.039062 |
| 32 | 110 | 68750 | 3436.300285 | 0.879693 | 0 | 0 | 83.972076 | 131.039062 |
| 32 | 210 | 74550 | 3722.307084 | 0.952911 | 0 | 0 | 90.675034 | 131.039062 |
| 32 | 310 | 76880 | 3835.49257 | 0.981886 | 0 | 0 | 93.344505 | 131.039062 |
| Size | Demand | Samples | Samples/sec | Mbit/sec | Samples lost | Samples Rejected | CPU | Memory |
|---|---|---|---|---|---|---|---|---|
| 64 | 10 | 26230 | 1311.040572 | 0.671253 | 0 | 0 | 34.088615 | 131.039062 |
| 64 | 110 | 68860 | 3437.496808 | 1.759998 | 0 | 0 | 83.917076 | 131.039062 |
| 64 | 210 | 74550 | 3721.916084 | 1.905621 | 0 | 0 | 90.61554 | 131.039062 |
| 64 | 310 | 76880 | 3830.362836 | 1.961146 | 0 | 0 | 93.26947 | 131.039062 |
| Size | Demand | Samples | Samples/sec | Mbit/sec | Samples lost | Samples Rejected | CPU | Memory |
|---|---|---|---|---|---|---|---|---|
| 128 | 10 | 26250 | 1312.055436 | 1.343545 | 0 | 0 | 34.039028 | 131.039062 |
| 128 | 110 | 68750 | 3435.835578 | 3.518296 | 0 | 0 | 83.960724 | 131.039062 |
| 128 | 210 | 74340 | 3714.009183 | 3.803145 | 0 | 0 | 90.678482 | 131.039062 |
| 128 | 310 | 76880 | 3836.260613 | 3.928331 | 0 | 0 | 93.313301 | 131.039062 |
| Size | Demand | Samples | Samples/sec | Mbit/sec | Samples lost | Samples Rejected | CPU | Memory |
|---|---|---|---|---|---|---|---|---|
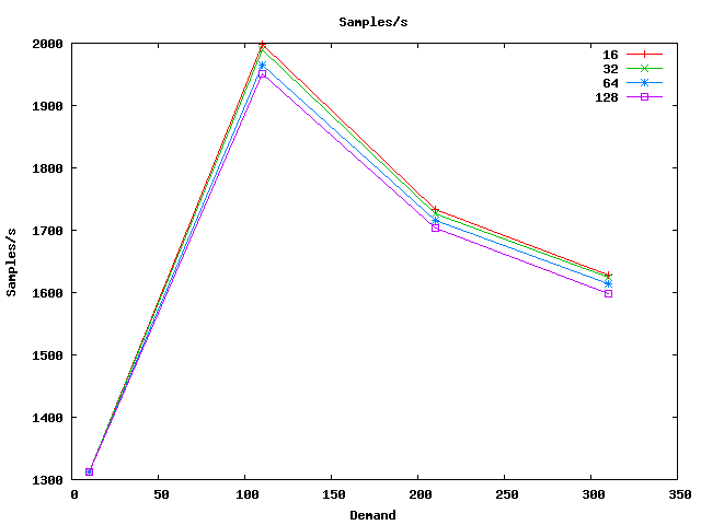
| 16 | 10 | 26250 | 1311.940004 | 0.167928 | 0 | 0 | 48.078678 | 25489.408 |
| 16 | 110 | 40444 | 1997.562177 | 0.255688 | 28304 | 0 | 97.100723 | 25489.408 |
| 16 | 210 | 35094 | 1734.069094 | 0.221961 | 39457 | 0 | 96.994408 | 25489.408 |
| 16 | 310 | 32958 | 1627.606682 | 0.208334 | 43923 | 0 | 96.791573 | 25489.408 |
| Size | Demand | Samples | Samples/sec | Mbit/sec | Samples lost | Samples Rejected | CPU | Memory |
|---|---|---|---|---|---|---|---|---|
| 32 | 10 | 26250 | 1312.1494 | 0.33591 | 0 | 0 | 48.136345 | 25489.408 |
| 32 | 110 | 40227 | 1989.178919 | 0.50923 | 28521 | 0 | 97.115936 | 25489.408 |
| 32 | 210 | 34952 | 1726.255548 | 0.441921 | 39600 | 0 | 96.801483 | 25489.408 |
| 32 | 310 | 32907 | 1624.09042 | 0.415767 | 43972 | 0 | 96.633461 | 25489.408 |
| Size | Demand | Samples | Samples/sec | Mbit/sec | Samples lost | Samples Rejected | CPU | Memory |
|---|---|---|---|---|---|---|---|---|
| 64 | 10 | 26230 | 1311.483809 | 0.67148 | 1 | 0 | 48.248604 | 25489.408 |
| 64 | 110 | 39744 | 1964.699581 | 1.005926 | 29116 | 0 | 96.938217 | 25489.408 |
| 64 | 210 | 34683 | 1715.178589 | 0.878171 | 39865 | 0 | 96.678772 | 25489.408 |
| 64 | 310 | 32696 | 1613.159552 | 0.825938 | 44185 | 0 | 96.602478 | 25489.408 |
| Size | Demand | Samples | Samples/sec | Mbit/sec | Samples lost | Samples Rejected | CPU | Memory |
|---|---|---|---|---|---|---|---|---|
| 128 | 10 | 26250 | 1311.980068 | 1.343468 | 1 | 0 | 48.33004 | 25489.408 |
| 128 | 110 | 39369 | 1950.952018 | 1.997775 | 29379 | 0 | 97.127251 | 25489.408 |
| 128 | 210 | 34379 | 1703.21646 | 1.744094 | 39962 | 0 | 97.051857 | 25489.408 |
| 128 | 310 | 32287 | 1597.980139 | 1.636332 | 44594 | 0 | 96.955177 | 25489.408 |
| Size | Std Dev | Mean | Min | 50% | 90% | 99% | 99.99% | Max |
|---|---|---|---|---|---|---|---|---|
| 16 | 117.070658 | 1866.609551 | 1733.38119 | 1850 | 1940 | 2060 | 5320 | 5336.381151 |
| 32 | 113.796169 | 1870.499449 | 1745.381281 | 1850 | 1940 | 2060 | 5320 | 5818.381329 |
| 64 | 111.854211 | 1870.507951 | 1768.381224 | 1850 | 1940 | 2040 | 5870 | 6550.381082 |
| 128 | 110.676368 | 1885.28765 | 1779.381307 | 1860 | 1950 | 2120 | 5820 | 5830.381187 |
| 256 | 117.872402 | 1973.67295 | 1815.381349 | 1940 | 2060 | 2200 | 5420 | 5727.381101 |
| 512 | 116.65017 | 2100.457351 | 1986.381254 | 2060 | 2180 | 2320 | 5520 | 6737.381109 |
| 1024 | 115.866861 | 2362.444851 | 2232.381264 | 2340 | 2460 | 2620 | 5420 | 5936.381296 |
| 2048 | 115.182315 | 2928.251052 | 2818.381302 | 2880 | 3000 | 3150 | 6080 | 6886.381312 |
| 4096 | 123.54364 | 3531.895249 | 3371.381322 | 3480 | 3600 | 3750 | 6920 | 7980.38126 |
| 8192 | 123.8298 | 4627.391549 | 4477.381129 | 4580 | 4700 | 4900 | 6260 | 6298.381258 |
| 16384 | 156.903263 | 6831.304448 | 6431.38134 | 6800 | 6860 | 7250 | 10800 | 11637.381167 |
| 32768 | 181.703959 | 10307.320251 | 10111.381188 | 10200 | 10300 | 11200 | 14900 | 14990.38132 |